Advertisements

Sunday, April 24, 2016

Quadratic Equations–Important Formulas

Given the General Equation - ax2 + bx + c = 0, will have 2 roots, as the highest power in the equation is 2.
Those 2 roots are given by the equation  x = -b ± √(b2 -4ac) / 2a

Further, the questions in SSC wont ask you directly to find the roots. Instead he may ask:
a)  Sum of Roots of a quadratic equation = -b/a
b) Product of the roots of a quadratic equation= c/a

Important Concept about the roots:
While finding roots if following conditions are satisfied, then the nature of the roots is as follows:
Quadratic-Formula

- When b2 -4ac <0, the roots are complex and unreal
- When b2 -4ac = 0, the roots are equal and real
- When b2 -4ac > 0, the roots are real and unequal

Maximum and Minimum values of a quadratic Equation:-Quadratic equation will have minimum value whenever a>0
-Quadratic equation will have maximum value whenever a<0

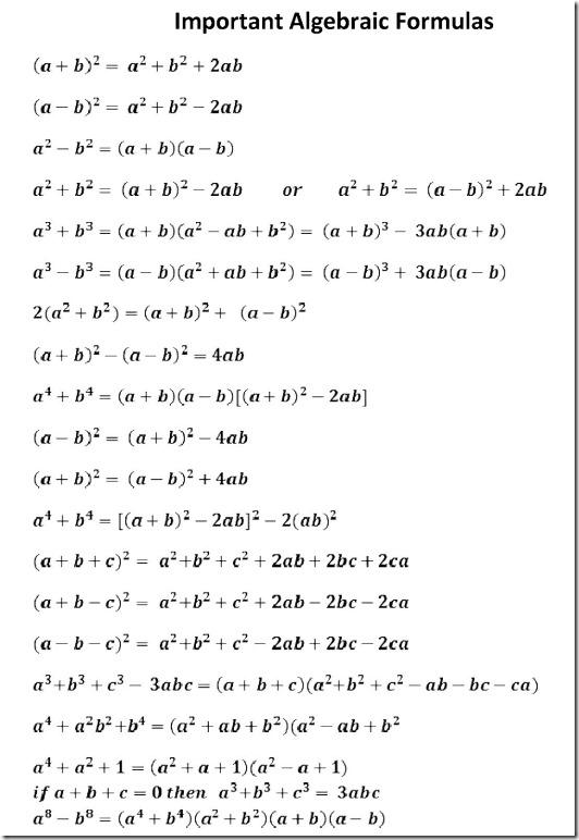
SSC Algebra important Formulas

No comments:

Post a Comment